Receita Federal repassará R$ 3,1 milhões aos fundos da criança e da pessoa idosa na Zona Sul
O crédito bancário será feito dia 15 de agosto na conta bancária dos respectivos fundos
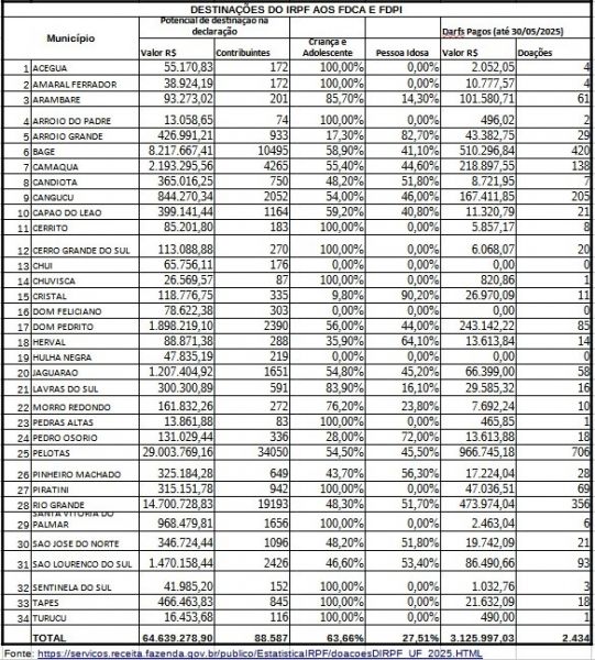
A Receita Federal realizará o repasse de R$ 3.125.997,03, no dia 15 de agosto, da destinação feita pelos contribuintes diretamente na declaração do Imposto de Renda das Pessoas Físicas de 2025, aos Fundos dos Direitos da Criança e do Adolescente (FDCA) e Fundos da Pessoa Idosa (FDPI).
Em Pelotas, foram 706 destinações que totalizaram R$ 966.745,18, sendo 54,50% para o FDCA e 45,50% para o FDPI. Em Rio Grande, os contribuintes destinaram R$ 473.974,04, sendo 48,30% (FDCA) e 51,70% (FDPI). Na sequência ficou o município de Bagé, com um montante de R$ 510.296,84 e Dom Pedrito, com R$ 243.142,22. Dos municípios que tiveram as menores destinações estão Pedras Altas, Turuçu e Arroio do Padre, com R$ 465,85, R$ 490,00 e R$ 496,02, respectivamente.
Neste ano de 2025, o percentual de destinação em relação ao potencial que a região possui, que é de R$ 64 milhões, foi de 4,83%. Em relação ao que foi destinado no ano anterior, foi constatada uma queda de R$ 1.5 milhões. Essa queda significa que ainda há muito trabalho a ser feito na conscientização sobre a importância que esta ação de cidadania pode representar nos projetos vinculados à garantia e proteção dos direitos de crianças, adolescentes e pessoas idosas, assistidas pelo poder público e por instituições de assistência social nos municípios.
Entre os programas de Cidadania Fiscal da Receita Federal, a destinação do Imposto de Renda está inserida na Campanha “Eu Sou Cidadão Solidário”, que tem por objetivo orientar e incentivar o contribuinte sobre a relevância desta ação. A destinação é um ato de cidadania efetiva, em que o contribuinte tem a possibilidade de escolher o destino de uma parte do seu imposto, aplicando-a em projetos que promovam a transformação social no seu município. Na destinação diretamente na declaração, o contribuinte que declara no modelo completo, com imposto a pagar ou a restituir, pode destinar até 3% do imposto devido para o Fundo da Criança e do Adolescente (FDCA) e até 3% para o Fundo da Pessoa Idosa (FDPI).
A jurisdição da Delegacia da Receita Federal em Pelotas conta com 32 municípios com Fundos da Criança e 19 com Fundos da Pessoa Idosa, cadastrados e habilitados no programa gerador da declaração do Imposto de Renda em 2025. Esta é outra meta de trabalho da Cidadania Fiscal da Receita Federal, sensibilizar os gestores e os presidentes dos Conselhos daqueles municípios que ainda não estão cadastrados ou habilitados, a constituírem e formalizarem os Fundos Municipais, para que todos os 34 municípios da jurisdição estejam habilitados e aptos a receberem a destinação através da Declaração do IRPF a partir de 2026. As orientações podem ser obtidas pelo telefone (053) 3029-8100, da RFB em Pelotas.







